Vazyme Tách cột Silica – FastPure Blood / Cell / Tissue / Bacteria DNA Isolation Mini Kit DC112
Description
FastPure Blood/Cell/Tissue/Bacteria DNA Isolation Mini Kit

FastPure Blood/Cell/Tissue/Bacteria DNA Isolation Mini Kit là bộ kit tách chiết DNA tổng số (gDNA) hiệu suất cao, được Vazyme thiết kế dành cho nhiều loại mẫu khác nhau: máu, tế bào, mô động vật và vi khuẩn.
Sản phẩm áp dụng công nghệ màng silica và hệ dung dịch rửa tinh sạch độc quyền, cho phép thu hồi DNA tinh khiết, phù hợp với các ứng dụng PCR, qPCR, enzyme digestion, và giải trình tự gen NGS.
Nguyên lý hoạt động
Nguyên lý tách chiết dựa trên cơ chế gắn chọn lọc DNA vào màng silica trong điều kiện muối chaotropic cao. Sau khi mẫu được phân giải bằng buffer và Proteinase K, DNA được hấp phụ, rửa sạch tạp chất rồi rửa giải bằng nước hoặc buffer TE.
Toàn bộ quy trình hoàn tất trong 25–40 phút, không cần dung môi hữu cơ (phenol/chloroform), thân thiện và an toàn cho người sử dụng.
Ưu điểm nổi bật
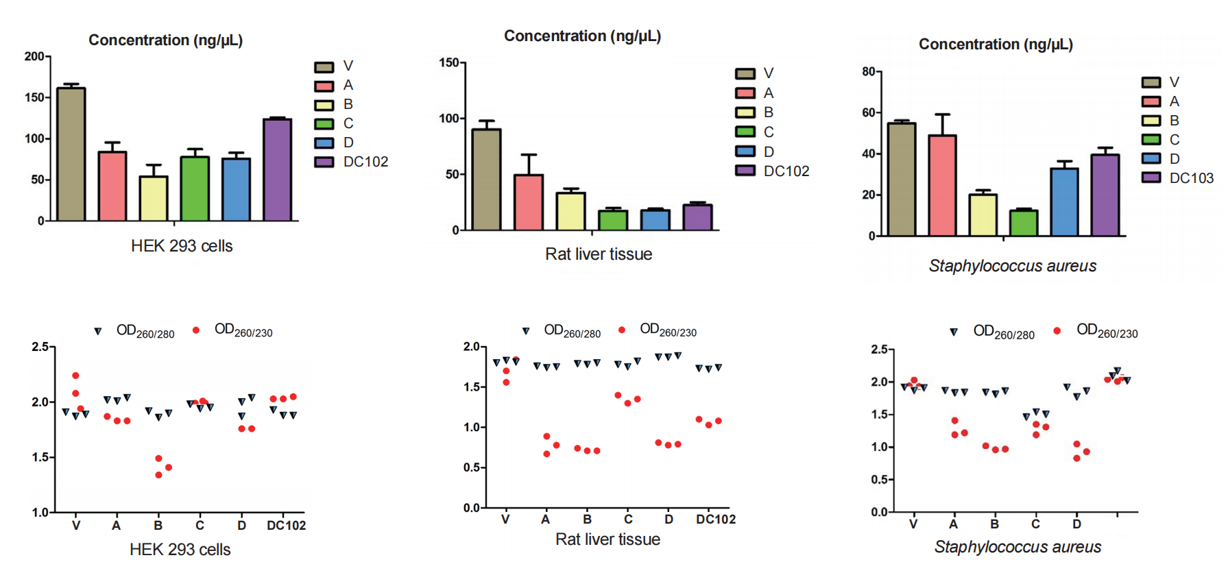
- Hiệu suất thu hồi DNA cao, tinh sạch (A260/A280 = 1.8–2.0).
- Phù hợp với nhiều loại mẫu khác nhau: máu, tế bào, mô, vi khuẩn Gram âm/dương.
- Không cần phenol/chloroform – an toàn, quy trình đơn giản, hoàn tất trong 40 phút.
- DNA thu được có độ nguyên vẹn cao, dùng trực tiếp cho PCR, qPCR hoặc NGS.


Thông số kỹ thuật
| Mã sản phẩm | DC112 |
|---|---|
| Loại mẫu | Máu toàn phần, tế bào, mô, vi khuẩn Gram âm/dương |
| Thể tích mẫu | 200 µL máu, 10⁶ tế bào hoặc 25 mg mô |
| Thể tích rửa giải | 50–200 µL |
| Thời gian thao tác | 25–40 phút |
| Kích thước DNA | ≥ 20 kb, độ nguyên vẹn cao |
| Độ tinh khiết | A260/A280 = 1.8–2.0 |
| Bảo quản | 2–8°C |
Thành phần bộ kit (Kit Components)
| Thành phần | DC112-01 (50 rxns) | DC112-02 (200 rxns) |
|---|---|---|
| Buffer ACL | 12 mL | 48 mL |
| Proteinase K | 1 mL | 4 mL |
| Buffer BCL | 12 mL | 48 mL |
| Buffer WA | 15 mL | 60 mL |
| Buffer WB | 20 mL | 2 × 40 mL |
| Elution Buffer | 20 mL | 80 mL |
| FastPure gDNA Mini Columns II | 50 | 2 × 100 |
| Collection Tubes 2 mL | 50 | 2 × 100 |
Giải thích thành phần
- Buffer ACL: Dung dịch ly giải tế bào và mô, phá vỡ màng sinh học.
- Proteinase K: Enzyme thủy phân protein, giúp giải phóng DNA.
- Buffer BCL: Tăng khả năng gắn kết DNA với màng silica.
- Buffer WA/WB: Dung dịch rửa loại bỏ protein, muối và tạp chất.
- Elution Buffer: Dung dịch rửa giải, thu hồi DNA tinh sạch cuối cùng.
- FastPure gDNA Mini Columns II: Cột lọc silica thu giữ DNA.
- Collection Tubes: Ống thu DNA sau rửa giải.
Ứng dụng
- Tách chiết DNA tổng số từ nhiều loại mẫu sinh học.
- Chuẩn bị DNA cho PCR, qPCR, giải trình tự và enzyme digestion.
- Nghiên cứu di truyền, vi sinh vật, sinh học phân tử và y sinh học.
Quy cách đóng gói
- DC112-01: 50 lần phản ứng (50 preps)
- DC112-02: 200 lần phản ứng (200 preps)
Additional information
| DC112-01 | 50 rxn |
|---|---|
| DC112-02 | 200 rxn |









Reviews
There are no reviews yet.